Сложно представить себе гладкую деревянную или металлическую деталь без обработки её наждачной бумагой
Впервые наждачная бумага в приближенном к современному варианту виде появилась еще в Китае в 13-ом веке, создаваемая из органических материалов: ракушек, песка семян и природного клея. Дальнейшее развитие технология ее производства получила лишь в 19 веке в Англии через руки и ум великого изобретателя Джона Оукея. Так впервые при создании наждачной бумаги было использовано молотое стекло, появилась наждачка для влажного шлифования, а также различные губки для полирования обуви и ножей.
В настоящий момент диапазон видового разнообразия наждачной бумаги настолько расширился, что ее стали различать даже по тому, в какой стране она произведена, поскольку различается маркировка зернистости. Также стали выделять массу типов наждачки для шлифовальных машин, а также варианты «насадок» для бумаги, облегчающих её эксплуатацию.
Градация наждачной бумаги
Стоит сказать, что за прошедшие 7 веков наждачная бумага преодолела немалый путь в своем развитии. Немало это сказалось и на том, как производится градация наждачной бумаги. Принято различать этот материал по:
- Назначению.
- Абразиву.
- Типу нанесения абразива.
- Зернистости.
- Месту производства.
Как упоминалось ранее, прежде не было четкого и конкретного понимания того, из какого материала должна создаваться наждачная бумага. Сначала возникла необходимость в создании такого материала, который бы мог ошкуривать, сдирать краску, верхний слой дерева, чистить твердые поверхности.
Затем в ходе развития добычи различных полезных ископаемых появились и различные абразивы – материалы, на основе которых делается бумага. Таким образом, сначала появилась основа из боксита и металлической стружки. Затем появился способ соединения графита и кремнеземного материала, после чего продолжили работу с гранатом и, наконец, добрались до алмаза.
Соответственно всему этому шло и развитие способов нанесения абразива на основу, где сначала использовалась сила тяготения, зачем изобретение инженеров в области электричества, а после всего – в ход пошли различные типы смол в качестве связующих элементов.
Также проводят различия и территориальной параллели. В частности, это касается наждачной бумаги, полученной на отечественном производстве и на зарубежной фабрике. Делается это потому, что маркировка по типам зернистости в конечном итоге существенно отличается.
В последнее время появился новый вид материала и называется он – наждачная бумага для шпаклевки стен. Чаще всего это абразивная средне — и мелко-зернистая сетка, при помощи которой мастера устраняют все неровности на стенах перед началом оклеивания обоями или их покраской.
Видео о видах наждачной бумаги
Разновидности способов изготовления
При нанесении абразивного порошка на основу наждачной бумаги применяют два способа расположения абразивных зерен. Первый — открытой насыпкой. В этом случае частицы абразива занимают не все пространство на поверхности основы и между ними остаются свободные пространства размером около длины зерна. Такое расположение режущих зерен лучше всего подходит для обработки крошащихся материалов, т. к. срезаемые частицы материала в этом случае легко отходят от поверхности наждачки.
При закрытой насыпке абразивная крошка полностью укрывает поверхность наждачки. Такие шлифшкурки в основном применяются для обработки металлов. Он не пригодны для шлифования мягких материалов, т. к. в этом случае наждачная бумага быстро засаливается. Разравнивание абразивного порошка по основе может производиться двумя способами: механическим и электростатическим. При первом расположение зерен неравномерное. Такая наждачка менее производительная, но более щадящая к обрабатываемой поверхности. При электростатическом разравнивании зерна укладываются более равномерно, что создает абразивный слой с лучшими режущими способностями.
Виды наждачной бумаги
Итак, как было сказано ранее, существует очень много видов и типов наждачной бумаги, сформировавшихся исторически и в результате научно-технической революции. Впервые появилась наждачка из органических материалов, затем с применением результата стеклодувного творения. Исходя уже из этих знаний, можно различать виды наждачной бумаги по назначению и по материалам, использованным при ее изготовлении. Однако же ученые не могли обойти стороной и это творение человеческой мысли. В результате деятельности последних появилась классификация наждачной бумаги, дошедшая до нас неизменной в своей основе.
Поскольку наждак натуральный представляет собой результат смешения корунда с магнетитом, в современных условиях он практически не применяется. Чаще его заменяют искусственно получаемым оксидом алюминия либо же гранатом, иногда – алмазом синтетического происхождения.
Отсюда выделяют следующие виды абразивных материалов
:
- Электрокорундовые. Представляют собой наиболее жесткий вид наждачной бумаги, поскольку обладают превосходной режущей способностью и устойчивостью к давлению за счет особой твердости кристаллов на излома. Получают при помощи восстановительной плавки в шихте.
- Карбид кремния. Превосходно подходит для шлифовки стекла, финишной металлообработки, очистки пластика, поскольку имеет в своей основе очень острые, но хрупкие и крошащиеся под давлением на более мелкие частицы. Получаем из сплава крепнезема и графита.
- Гранатовые. Прекрасно подходят для шлифования деревянных поверхностей, поскольку очень хрупки, но позволяют получить на выходе идеально гладкую поверхность.
- Алмазные. Самый твердый и долговечный тип материала для наждачной бумаги. Очень теплостоек и дорог, почему применяется редко.
Другие виды наждачной бумаги можно перечислить исходя из технологии нанесения абразива на бумагу . Они таковы:
- Механический тип. Менее агрессивный или жесткий вариант, поскольку использование силы земного тяготения приводит к хаотическому нанесению частиц на полотно.
- С применением электростатики. Используемый при создании наждачного слоя материала более жесток, заряженные отрицательно частицы в электростатическом поле направляются острыми концами в клеевую основу, в результате чего получается очень острый наждачный слой.
- С использованием связующих. Они представляют собой более прочный по сравнению с абразивной частицей материал, прикрепляющий ее к бумаге и влияющий на ее технические характеристики: эластичность, водостойкость длительность эксплуатации.
- Нередко в качестве связующих выступают различные клеи и смолы, в которых могут присутствовать антистатические или противогрязевые (от засаливания) добавки.
- Зернистость 40-60. Использование далеко расположенных друг от друга крупных зерен актуально при осуществлении черновой обработки. Некоторые умельцы с её помощью измельчают алюминиевую стружку при изготовлении самодельного пороха .
- Сглаживающая 80-120. Применяется на этапе удаления незначительных огрех, неровностей.
- Финишная 150-180. Годится для итоговой обработки.
- Тонкая 220-240. Применяется для затирки меду грунтовкой и красящим веществом.
- Сверхтонкая 280-320. Ею убирают пыль и отметины перед завершением покрытия.
- Редкая 360-600. С ее помощью с верхнего слоя покрытия производят удаление мелких пятнышек и царапин.
Также разделяют наждачную бумагу на открытую и закрытую. Первая применяется для обработки изделий из дерева, поскольку между абразивными зернами имеется значительное расстояние, через которое высыпается весь стружечный излишек. Вторая хороша в работе по металлу.
Помимо этого существует и профессиональное деление бумаги на коммерческую и промышленную. Различие в том, что последняя предназначена только для обработки материалов в производственных условиях.
Не стоит забывать и о том, что в продаже можно найти наждачную бумагу или в виде готовы листов, или свернутую рулонами. Помимо этого в современном производстве имеется такой вид, как наждачная бумага на липучке, ее можно крепить к любому удобному в качестве держателя предмету.
Маркировка наждачной бумаги
От того, в какой стране производится наждачная бумага, зависит и ее маркировка, поскольку системообразующая ее основа в каждой местности своя. Так выделяют несколько зарубежных групп: Японию, США, Китай и Канаду – и общепринятый стандарт FEPA, которому соответствует и российский государственный стандарт.
Ниже приводимая система представляет собой отечественный стандарт, в котором буквой «Р» характеризуют количество зерен от 12 до 5000. Таким образом, чем число возле обозначения больше, тем бумага мелкозернистей. Также будут использованы и некоторые доперестроечные обозначения, действующие поныне в некоторых республиках. Это 20-Н – измерения ведется десятками микрон и М20 – просто микронами. Последний тип наждачки в народе именуется нулевкой.
Видео о выборе наждачной бумаги
Итак, маркировка наждачной бумаги по международному стандарту.
- Р22/24/36, 80-/63-/50-Н для грубой черновой обработки.
- Р40/46/60, 40-/32-/25-Н для менее жесткой шлифовки.
- Р80/90/100/120, 20-/16-/12-/10-Н для обработки на первичном этапе.
- Р150/180 и 8-/6-Н для итоговой шлифовки.
- Р240/280 и 5-Н, М63 для шлифования древесных материалов.
- 400/600, М28/40 и 2/3-Н для полировки и перед окрашиванием.
- Р1000, М20 и 1-Н для шлифования металла пластика, керамических изделий.
- Обычная полировка – Р1200/1500, М14/10/7/5
- И самая легкая полировка при помощи Р2000/2500, Н-0/00/01.
Также на обороте бумаги можно увидеть и иные обозначения:
- если бумага листовая, то там будет обозначение «Л», у рулонной его нет;
- «1» обозначает тип наждачки для мягких материалов, а «2» — по металлу;
- «Л1/2» скажет об уровне влагопрочности бумаги;
- «П» же, наоборот, предостережет от использования ее в условиях сырости.
Водостойкость наждачной бумаги
Используемая в работе бумага также нередко делится на подгруппы в зависимости от своей устойчивости к влаге. Так можно выделить уже 4 на основе приведенных выше данных – это Л1 и Л2, обычная и П.
Как правило, влагостойкая наждачная бумага используется в промышленных условиях в процессе конвейерной окраски и при ремонте изделий, при деревообработке и шлифовке металла. Нередко помогает в процессе производства мебельной продукции и даже приборов бытового назначения.
Иное ее название – «наждачная бумага на тканевой основе» с соответствующей приставкой. В число полезных качеств водят такие, как: повышенная стойкость и эластичность, устойчивость при скручивании. Перед применением специалисты рекомендуют некоторое время выдержать ее под водой.
В продажу такая бумага поступает в рулонах и листами зернистостью от Р80 до Р2000.
Наждачная бумага для дерева
Следуя из вышеописанного, легко сделать вывод о том, что для обработки изделий из дерева лучше всего подходит крупнозернистая наждачная бумага, поскольку получаемая в огромных количествах при ошкуривании стружка прекрасно выпадает через промежутки между частицами. С её помощью можно сделанной дачной скамейке придать гладкость. Продается этот материал в виде наждачных кружков, брусков, лент и рулонов, а также на липучке, что повышает удобство его эксплуатации в бытовых условиях.
Различают несколько видов наждачной бумаги для дерева: для первоначальной шлифовки промежуточной и финишной. Последняя применяется при итоговой обработке готовых изделий для затирки неровностей и углов.
Есть огромное количество инструкций по правильному использованию бумаги в обработке деревянных поверхностей. Основная разница состоит в различном уровне требуемой обработки и свойствах самого дерева, которое может быть очень мягким либо чрезвычайно крепким, а также деревянный ли это брус, клееный или же используется изделие из пиломатериала и пилок (разное направление волокон).
Какую наждачку Вы предпочитаете использовать в своей работе? Почему выбор пал именно на эту разновидность? Расскажите об этом в
Немного истории
Предок современной наждачной бумаги появился в Китае еще в 13 веке. Современный вид шлифовальная шкурка приобрела благодаря одному английскому изобретателю к середине 19 века, и с тех пор распространилась практически повсеместно.
Современная наждачка представляет собой гибкий абразивный материал, использующийся как для грубой обработки, так и для более тонкой, например, полирования. Выпускается она в виде листов или рулонов, имеет бумажную или тканевую основу с наклеенным на ней абразивным материалом – электрокорундом, карбидом кремния, стеклом, реже искусственным алмазом, эльбором и другими. Более подробно о видах основы, клеящего состава и видов абразива поговорим на конкретных примерах при изучении маркировки.
Напомним, что маркировкой называют буквенно-цифровой код, в котором зашифрована масса информации. В технике маркируют огромное количество различных материалов, например сталей, а так же различные станки, приспособления, инструменты и много еще чего.
Шифр наждачной бумаги содержит в себе следующие сведения:
- вид абразива;
- вид основы материала;
- тип связующего между основой и абразивом;
- способ нанесения рабочих зерен;
- свойства материала основы;
- водостойкость.
Следует отметить, что с маркировкой наждачной бумаги с некоторого момента, а именно с 2005 года произошла некоторая путаница. До этого времени в СССР и России существовал один ГОСТ, согласно которому и осуществлялась обозначение шифра, позже было принято общемировое шифрование информации о материале. Если до 2005 года зернистость наждачной бумаги, указывавшаяся цифрами, соответствовала его натуральному размеру, и проставлялась в десятках микрон, то в настоящее время за единицу принято количество проволок сита, через которое осуществляют отсев абразивного материала, на дюйм. Таким образом, с уменьшением зерна раньше цифра в маркировке убывала, теперь, возрастает и может достигать 2400.
Кроме этого, в современной маркировке перед цифрой, указывающей на размер абразива ставится буква Р, раньше стояли буквы Н и М. Ориентируясь на указанные особенности можно определить период маркировки наждачной бумаги, которую вы изучаете.
Наждачная бумага используется для решения большого перечня задач. К ним можно отнести:
- удаление старого слоя лакокрасочного покрытия или коррозионного поражения металлов;
- зачистка поверхности деталей из различных материалов для уменьшения шероховатости, подготовка их к последующей отделке;
- полирование древесины и металлов, в том числе во влажной среде.
Каждый вид обработки предъявляет к абразивному материалу те или иные требования, которым должны удовлетворять все части шкурки.
От величины зернистости напрямую зависит тонкость обработки поверхности. В зависимости от обрабатываемого материала и вида работ подбирайте соответствующую наждачную бумагу.
Кроме этого различные виды абразива, например, карбид кремния, могут при частичном разрушении образовывать новые рабочие грани, что продлевает срок службы шкурки. Один из показателей – покрытость основы. При слабом распределении зерна наждачная бумага меньше засоряется отходами обрабатываемого материала и может использоваться для мягких древесных пород, при более плотной засыпке бумага подойдет для обработки твердой древесины и металлов.
Вид основы так же важен при подборе гибкого абразива. Ткань (буква К) обладает большей прочностью и износостойкостью, она влагостойка. Более жесткие ее виды хороши при механизированных видах обработки. Недостаток ее – увеличение линейных размеров – растягиваемость. Бумага (буква Р) менее прочна, но позволяет получать шкурку с минимальным размером зерна, что незаменимо при полировании.
Вид связующего, удерживающего рабочие зерна на основе, так же важен для выполнения некоторых видов работ. Связки обладают различной механической прочностью, что важно при механическом шлифовании, а так же по-разному реагируют на увлажнение.
Каждый элемент наждачной бумаги важен. Необходимо не только правильно читать маркировку, но и уметь подбирать конкретный вид шкурки для определенного вида работ. Профессиональные шлифовщики по внешнему виду могут отличить различные виды и дать полную информацию о материале, для непрофессионала достаточно запомнить две-три основных марки, обладающих достаточной универсальностью.
Уважаемые читатели, если у вас остались вопросы, задавайте их, используя форму ниже. Мы будем рады общению с вами;)
На сегодняшний день трудно представить выполнение таких работ, как шлифование деревянных поверхностей, обработка поверхностей, покрытых лаком, кузовные работы, шпаклевка и тому подобное без использования наждачной бумаги. Ее производство основано на нанесении абразивного зерна в магнитном поле электро-статитической области. Как сухое, так и мокрое шлифование практически невозможно без использования наждачной бумаги. Везде сейчас в почете наждачная бумага, маркировка которой в этой статье ставится отдельным и самостоятельным вопросом.
Материал абразива
Не поленился сфотографировал изнанку шкурки которой скворечник обрабатывал.
Строчка resin bonded — абразивный материал, шлифовальный материал (согласно англо — русскому словарю по машиностроению и автоматизации производства)
Если вы посмотрите на обратную сторону вашей наждачной бумаги, то скорее всего увидите аналогичную незамысловатую надпись aluminium oxide что означает оксид алюминия ( в простонародье электрокорунд). Возможен такой вариант как карбид кремния или керамический абразив.
Первый является хрупким материалом и используется для обработки дерева, легированной стали, чугуна.
Второй (карбид кремния) имеет высокую твердость и предназначен для работы со стеклом, пластиком, металлом.
Как правило широкому потребителю для работ по хозяйству достаточно и этих знаний, но мы для общего развития предлагаем охватить тему шире:
Области применения шкурок в соответствии с видом абразивного материала
- Электрокорунд нормальный (93-96% Al2O3 — например 16А) такие шкурки предназначены для ковкого чугуна, закаленных и незакаленных сталей, дерева.
- Электрокорунд белый (Al2O3 не более 99% — например 25А) — для обработки жаропрочных и легированных сталей.
- Карбид кремния (например 64С) — чистовой обработки металла, чугуна, бронзы, алюминия, пластмассы, мрамора, гранита, стекла, дерева.
- Кремень (например 81К )- для обработки дерева, фанеры, кожи.
- Стекло (например 71С) — для обработки дерева, фанеры, фетра, войлока.
- Гранат — для обработки твердых лиственных пород дерева (дуб, бук и т.д.).
- Эльбор — для полирования прецизионных поверхностей, стальных труднообрабатываемых деталей.
- Алмаз — для полирования и чистового хонингования прецизионных деталей из твердого сплава и чугуна.
ГОСТ маркировки наждачной бумаги
В 2005 году ввели новый ГОСТ, согласно которому была утверждена новая маркировка наждачной бумаги. Впрочем, до сих пор пользуются и старой советской маркировкой наждачной бумаги. Плохо то, что эти маркировки не только отличаются друг от друга, но даже являются обратными по отношению друг к другу. Если исходить из старого ГОСТа, то крупные зерна на наждачной бумаге обозначаются большими цифрами. Зато согласно новому европейскому стандарту крупнозернистость обозначается уменьшением числа.
Нет необходимости запоминать эти маркировки, если наждачная бумага используется для бытовых нужд. Необходимо только знать, что новая система маркировки предлагает букву Р перед цифрами, зато согласно старой системе после числа ставится буква Н.
Кроме того, наждачная бумага с числовым показателем 40 совпадает и в старой, и в новой системах по своим техническим характеристикам. Она представляет собой достаточно крупнозернистую наждачную бумагу и редко используется для бытовых нужд. Зато наждачная бумага с мелкими зернами может обозначаться следующим образом в старой маркировке: 25-Н, 10-Н, 5-Н.
Новая маркировка
Согласно новой маркировке они обозначаются соответственно следующим образом: Р60, Р150, Р240. Ориентация в этих числах помогает в более или менее точном определении размера зерна наждачной бумаги.
При отделке, а также во время ремонта помещений часто используют наждачную бумагу. Она может использоваться вручную и посредством разнообразного электрического инструмента. Не смотря на всю простоту использования этого материала, многие люди серьезно путаются в ее классификации.
Производство шлифовальной шкурки
При производстве наждачки используется два метода нанесения абразивного материала.
Методы нанесения абразивных зерен
Абразивный материал, изготовленный электростатическим методом, более производительный.
- Электростатический способ. Заряженный отрицательно абразивный материал притягивается в электростатическом поле к нанесенному на основу клеевому слою. Под воздействием поля частицы вдавливаются в вяжущее вещество. Зерна размещаются вертикально и смотрят острием вниз.
Достоинство метода — абразивный слой, созданный электростатическим путем, более агрессивен. Он дает возможность сошлифовывать больше материала (по сравнению с механически созданным абразивным слоем) при одинаковых физических усилиях.
При механическом методе изготовления шлифовальный материал малопроизводителен.
- Механический способ. Абразивные частицы под действием гравитации падают на клеевой слой, нанесенный на основу. Располагаются они в случайном порядке.
Недостаток метода — абразивный слой, созданный механическим путем, менее агрессивен.
Клеевые составы
Для производства шлифовальной шкурки используются синтетические и натуральные клеи разных марок. Тип вяжущего вещества влияет на прочность и режимы использования наждачной бумаги.
При непрочном клеевом слое наждачная шкурка быстро стирается и теряет работоспособность.
Главные задачи клея — удерживать абразив на основании и отводить с него тепло в ходе шлифования. Прочность фиксации зерен в клеевом слое должна быть больше прочности самих частиц.
От вида клея зависят эластичность и жесткость шлифовальной шкурки и в некоторой степени влагостойкость. В вяжущее вещество производители часто добавляют специальные присадки. Они придают материалу определенные качества. Например, противозасаливающие, антистатические свойства.
Вся влагостойкая шлифовальная бумага изготовлена при помощи синтетических клеев.
- Эпоксидная, карбамидоформальдегидная и фенолоформальдегидная смолы, а также янтарный лак — самые распространенные типы синтетических клеящих составов.
- Мездровый клей — чаще всего применяемый натуральный состав. Шкурка, произведенная с его помощью, неводостойкая. Поэтому не годится для влажных работ.
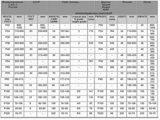
Маркировка наждачной бумаги и зернистость
| Назначение | Маркировка по ГОСТ 3647-80 | Маркировка по ISO-6344 | Размер зерна, мкм |
| Крупнозернистые | |||
| Очень грубые работы | 80-Н | P22 | 800-1000 |
| 63-Н | P24 | 630-800 | |
| 50-Н | P36 | 500-630 | |
| Грубые работы | |||
| 40-Н | P40 | 400-500 | |
| 32-Н | P46 | 315-400 | |
| 25-Н | P60 | 250-315 | |
| Первичная шлифовка | 20-Н | P80 | 200-250 |
| 16-Н | P90 | 160-200 | |
| 12-Н | P100 | 125-160 | |
| 10-Н | P120 | 100-125 | |
| Окончательная шлифовка мягких пород дерева, старой краски под покраску | 8-Н | P150 | 80-100 |
| 6-Н | P180 | 63-80 | |
| Мелкозернистые | |||
| Окончательная шлифовка твердых пород дерева, шлифовка между покрытиями | 5-Н,М63 | P240 | 50-63 |
| 4-Н,М50 | P280 | 40-50 | |
| Полировка финальных покрытий, шлифовка между покрасками, мокрая шлифовка | М40 | P400 | 28-40 |
| М28 | P600 | 20-28 | |
| Шлифовка металла, пластиков, керамики, мокрая шлифовка | М20 | P1000 | 14-20 |
| Еще более тонкая шлифовка, полировка | М14 | P1200 | 10-14 |
| М10 | P1500 | 7-10 | |
| М7 | P2000 | 5-7 | |
| М5 | P2500 | 3-5 |
Производители наждачки
Среди производителей наждачной бумаги можно выделить отечественных производителей (например, Белгород) и импортных. Само собою, разумеется, иностранные производители пользуются европейскими нормами маркировки. К тому же, зачастую импортная наждачная бумага продается в упаковках или рулонах, тогда как отечественную наждачку продают в погонных метрах.
При необходимости выполнения ручной работы (например, шлифования какой-нибудь деревянной поверхности) обычно покупают отечественную наждачную бумагу, когда имеется возможность отрезать всего метр от общего рулона. (К примеру, стоимость одного метра марки 16-Н составляет примерно сто восемьдесят рублей, а стоимость одного метра марки 40-Н составляет около двухсот рублей). Точную маркировку отечественных и иностранных изделий Вы можете проверить в интернете, введя в поисковик «наждачная бумага маркировка».
Если советовать что-нибудь из видов наждачной бумаги отечественного производства, то лучше приобретать наждачку на тканевой основе (отличается длительным сроком службы!) или лепестковые щлифовальные круги.
Гриты и номера — как определить зернистость
Зернистость, она же шероховатость — ключевой параметр для любого типа наждачной бумаги. Зернистость всегда указывается на оборотной стороне шлифовальной шкурки после литеры Р или слова Grit, иногда используются сразу оба варианта обозначений. Зернистость определяется числом от 12 до 15000, иногда даже больше.
В простейшем представлении эта цифра — число частичек абразива на квадратный дюйм, если их рассыпать сплошным равномерным слоем. В реальности это число определяется числом проволочек в квадратном дюйме сита, через которое абразив был просеян. Фактический же размер частичек колеблется от видимых невооруженным глазом (1-1,5мм) до совершенно микроскопических (целые и десятые микрона).
Определим область применения наждачной бумаги в зависимости от размера зерна:
- до Р80 — для грубой обдирки и шлифования с целью выравнивания поверхности;
- от Р100 до Р220 — применяют на втором этапе шлифовки, если нужно устранить мелкие борозды и царапины;
- до Р280 — применяется для тонкого шлифования;
- более мелкие шкурки уже классифицируются как полировочные.
Подробнее о точном выборе наждачной бумаги для различных целей можно прочесть .
Правило выбора наждачной бумаги по зернистости очень простое — чем она выше, тем более гладкой будет поверхность после обработки. Но при этом, чем мельче наждачная бумага, тем она и стачивается быстрее, и снимаемый слой материала становится меньше. Также надо учитывать, что чем больше твёрдость обрабатываемого материала, тем более грубую бумагу можно применять для чистовой обработки. В то же время на мягкой древесине даже при зернистости в Р220 могут оставаться вполне различимые царапины.
Что такое зернистость
Важно знать: чем больше требуется абразивного вещества для покрытия единицы площади, тем мельче его кристалл. Чем меньше абразива ложится на поверхность единицы площади, тем он крупнее.
Первичная обработка дерева
Назначение бумаги для тех или иных работ напрямую зависит от её зернистости, которая является главной характеристикой, показателем, определяющим сферу применения:
- Первичная или черновая обработка поверхности, снятие лакокрасочных покрытий, коррозии и ржавчины требует крупнозернистой бумаги, зернами 12 и 80.
- Устранение повреждений после первичной обработки, царапин видимых глазу изъянов, выравнивания поверхности, бугров, неровностей, требует показателей 80-160.
- Шлифовка выравнивание неровностей средних размеров используется зернистость Р80-Р120.
- Финишная обработка поверхностей, сглаживание пятен — зернистость 160-1400.
Характеристикой зернистости является её гритность, это характеристика плотности камня или иного вещества, используемого для абразива. Высокая гритность позволяет использовать гибкий абразивный материал для обработки твёрдых износостойких поверхностей.
Обратите внимание: учитывать гритность абразива необходимо для достижения искомых результатов обработки поверхностей!
Виды гибкого абразива различают и по другим показателям, но уже понятно, что показатель зернистости — основа маркировки.
Шкурки по типу основы
Даже в небольшом городе, пройдясь по хозяйственным магазинам, можно найти несколько десятков разных образцов наждачной бумаги. Они будут отличаться не только по зернистости, но и по способу нанесения абразивного материала, типу насыпки и связующего, а также используемому абразивному материалу или смеси таковых. Однако на практике первоочередное значение имеет тип основы, на которую абразив нанесён.
На бумажной основе изготавливается наиболее дешёвая и быстро расходуемая наждачная шкурка. Преимуществ у неё немного: помимо низкой цены бумага удобна, если нужно быстро оторвать свежий лоскуток для работы. Абразив с такой шкурки осыпается довольно быстро, особенно в местах излома, однако бумажная основа позволяет с большей лёгкостью обрабатывать рельефные поверхности.
Шкурка на тканевой основе имеет несколько более высокую стоимость, но гораздо долговечней. Во многих домашних хозяйствах можно найти с полдюжины завалявшихся лоскутков тканевой наждачки, которые успешно используются время от времени по нескольку лет и при этом не потеряли абразивные качества. Не обходится и без недостатков: ткань с эпоксидной пропиткой грубая, под ней хуже чувствуется обрабатываемая поверхность. Также тканевые шлифовальные ленты имеют свойство растягиваться, хотя это касается в основном лишь расходников для машинной обработки.
Наконец, имеется третий тип шлифовальной бумаги — на мягкой основе. Сюда относится поролоновая или полиуретановая шкурка, используемая для финальной обработки рельефных деревянных и гипсовых деталей, и фибровая наждачная бумага. Последняя, хотя и имеет схожие свойства в качестве прижатия к детали, используется для крепления на рабочий орган с липучкой, например на роторные шлифмашины.
Из каких материалов изготавливается основание
Для изготовления абразивных наждачек применяются основания из следующих материалов:
- Бумага — наиболее распространенный вариант изделий, который имеет низкую прочность, поэтому стоит недорого. Для повышения прочностных свойств изделия, основание пропитывается различными полимерами и смолами. За счет использования таковых материалов для пропитки, происходит повышение не только прочности, но еще и устойчивости к влаге. Зачастую бумага служит для производства мелкозернистых, а также средней и крупной зернистости шкурок. Бумага на оснастке бывает разной плотности, что влияет на сферу применения и цену
- Тканевая основа — стойка к истиранию. Обусловлена такими положительными свойствами, как эластичность, прочность, влагостойкость. На тканевой положке выпускаются наждачки крупной и средней зернистости. Ткани для изготовления рассматриваемых устройств бывают разные — гибкие, жесткие, особо-гибкие и т.п.
- Комбинированное двухслойное полотно — состоит их бумаги и ткани. Расходный материал на такой основе характеризуется эластичностью, стойкостью к истиранию, а также воздействию влаги. На комбинированном составе изготавливаются крупнозернистые варианты шкурок
Особой популярностью пользуется шкурка на губчатой основе. Их еще называют фибровыми. Они стоят дороже обычной наждачной бумаги, но при этом обладают такими положительными факторами, как пропускание пыли, продолжительный ресурс, а также возможность применения не только для ручной, но и механической обработки. Именно такие наждачки применяют для полировки автомобилей и удаления царапин с лакокрасочного покрытия.
Сухой и мокрый режим шлифования
В зависимости от абразивного материала и связующего его вещества наждачная бумага может отличаться допустимостью шлифовки с увлажнением поверхности. Помимо того, что бумага для мокрой шлифовки дороже обычной, есть ещё ряд причин, по которым это различие важно.
При снятии частиц с обрабатываемой поверхности силы трения в определённых точках могут быть настолько высоки, что вырабатываемой температуры достаточно для спекания металлической пыли. Это, в частности, справедливо для алюминия и большинства цветных металлов: если шкурку периодически не отряхивать, она быстро забьётся и придёт в негодность.
В некоторых разновидностях бумаги эта проблема решается специальным абразивным материалом. Так, карбид кремния, особенно нанесённый электростатикой, способен крошиться, образуя новые режущие грани, поэтому такая бумага практически не забивается. Однако частиц снятого материала может быть действительно много, например, при обработке пластика, и тогда необходимо упредить их слипание, смочив наждачную бумагу водой.
Полировка природного камня, мрамора или бетона так же не обходится без использвоания воды или специальных составов. Смачивание улучшает качество шлифовки и предотвращает распространение каменной пыли
Стойкость к намоканию определяется стандартом, который указывается в конце маркировки на тыльной стороне. Бумага по ГОСТ 13344-79 допускает работу в увлажнённой среде, а по ГОСТ 6456-82 не допускает. Есть и исключения, ведь водостойкость в целом определяется типом связующего вещества, то есть клея. Хотя тип связующего вещества обычно не указывается, для обработки мокрым методом пригодны абразивы, склеенные синтетическими веществами: битумными, полиэфирными смолами, фенольными лаками, т.п. Очень часто возможность использования бумаги для мокрых работ обозначается дополнительно литерой «В» или словом Waterproof.
Самодельные листы для шлифовки по старинным рецептам
Первая наждачная бумага появилась не в 1833 году, а тысячелетия назад. Жители прибрежных районов использовали кожу акулы или варили клей на чешуе рыб. Далее, они намазывали им куски кожи или ткани и посыпали её песком. Мастера, живущие далеко от берега, добывали клей из костей и жил животных или применяли смолу деревьев.
Чтобы изменить воздействие на обрабатываемую поверхность, мастера делали несколько вариантов полотна. На некоторых листах была крошка из драгоценных камней, на других песок, а на третьих молотые ракушки или семена растений. Для обработки крупных камней или предметов создавали металлические пластины, на раскалённую поверхность которых наносили абразив.
Современные листы выпускают с однотипной маркировкой, принятой во всём мире. Доставшаяся по наследству или приобретённая на строительном рынке старая наждачная бумага может сильно отличаться от принятых стандартов, поэтому лучше ориентируйтесь на внешний вид, это поможет избежать ошибок.
Для ручной обработки
Часто домашнему мастеру приходится обрабатывать свои изделия вручную. Так качество шлифовки гораздо выше, остаётся меньше необработанных участков. Для ручной обработки бумага выпускается в формате листов, лент и рулонов.
Ходовыми типами по зернистости в хозяйстве оказываются тканевая бумага Р60, Р80 и Р120. Более мелкая шкурка обычно имеет бумажную основу. Рекомендуется всегда держать в запасе разные номера абразивной бумаги для тонкой шлифовки вплоть до Р400.
Шкурка на тканевой основе зернистостью выше Р300 выпускается, преимущественно, для машинной обработки , хотя ей можно с попеременным успехом работать и вручную. Основная трудность в том, что абразив залит солидным слоем связующего, и обработка такой лентой вручную проходит крайне медленно, особенно при высокой зернистости. Однако мокрую шлифовку такой бумагой проводить — одно удовольствие.
Также для ручной обработки будут весьма полезны полиуретановые шлифовальные губки, которыми очень удобно обрабатывать детали с мелким рельефом. Если увлекаетесь обработкой дерева — всегда имейте запас поролоновой шкурки, это самое эффективное средство для подготовки под окраску или вскрытие лаком.
Ленты и диски для машинной шлифовки
При покупке расходников для шлифовальных машин трудно ошибиться. Все они имеют конкретный тип и рабочие размеры — либо длину и ширину, либо размерный номер, либо диаметр.
Для ленточных шлифовальных машин и гриндеров используется бумага на тканевой основе, свёрнутая в кольцо. Длина и ширина в миллиметрах — основной параметр такой наждачки, определяемый пригодность для использования с тем или иным инструментом.
Если с шириной ещё можно «поиграть», используя более узкую ленту или оторвав излишек, то ленты произвольной длины можно использовать только на гриндерах с регулируемым натяжением. Также обратите внимание, что для кольцевой ленты действует только одно направление движения, указанное стрелкой на тыльной стороне.
С абразивной бумагой для роторных и дельтовидных шлифмашин всё ещё проще. Они либо подходят по размеру, либо нет — размер подходящих расходных материалов однозначно указан в инструкции к оборудованию. При выборе нужно также обращать внимание на положение отверстий для отвода пыли. Поскольку речь идёт об электроинструменте, практически вся наждачная бумага в расходниках предназначена для сухого шлифования. Остаётся только правильно подобрать зернистость по типу материала и желаемому качеству поверхности, а затем поэтапно её снижать в процессе обработки.
Формы выпуска и виды
Привычная нам форма выпуска — в рулонах или листах. Листовая может быть на основе картона, а может быть на плотной бумаге. Чаще всего она более жесткая, чем рулонная. Рулонную чаще применяют на ленточных шлифовальных машинах, да и при ручном использовании тоже. Кроме того, есть следующие виды абразивных материалов:
- Абразивные круги. Используются для установки на насадки для специальных машин. Это могут быть шлифовальные машинки, насадки на дрель, УШМ. Есть разного типа: Обычные круги разного диаметра и разной зернистости.
- С липучкой, приклеенной с тыльной стороны.
- Лепестковые — это когда на основу наклеены полоски наждачной бумаги. Могут быть разной зернистости. Применяются для черновой обработки металлов (обычно), для снятия краски (в том числе и с бетона).
Абразивная шлифовальная бумага выпускается в виде листов, рулонов, лент, кругов. Есть и другие формы — для насадок на инструменты
Ленты для ленточных шлифовальных машин. Они имеют определенную длину и ширину — под наиболее распространенные типоразмеры.Сетка. Тонкая проволока, переплетенная в виде полотна. Абразивные частицы приклеиваются на проволоку. Такой материал удобен для шлифовки штукатурки, так как большая часть образующейся пыли просыпается сквозь ячейки сетки и абразив не забивается. Именно такой материал применяют для выравнивания гипсовой штукатурки под покраску.
Есть еще шлифовальные губки. Это абразив, который нанесен на вспененный полиуретан. Этот тип абразива применяют для доведения до гладкости поверхностей с пазами, резьбой, углублениями. Абразивные частицы могут наноситься на одну, две или четыре стороны губки. Могут быть одного размера или разного. Но обычно, это мелкое зерно, просто разной степени «мелкости». Губки более удобны, так как принимают любую форму, кроме того их можно промыть от пыли и высушить. Количество промывок не ограничено. От мытья они не страдают, можно применять пока зерно не осыпалось. А это зависит от качества.
Виды наждачной бумаги
Основная характеристика наждачки — это зернистость, т.е. количество абразивных зерен на квадратный дюйм поверхности. При низкой зернистости размер частиц сравнительно велик. Крупнозернистую бумагу используют в начале обработки. Она позволяет грубо отшлифовать и зачистить поверхность, снять остатки старой краски. После нее остаются царапины, поэтому необходима дальнейшая шлифовка более мелкой наждачкой.
С увеличением зернистости размер зерна уменьшается. Такую шкурку называют мелкозернистой. Она используется для тонкой, тщательной обработки, в частности перед покраской. Простой пример — вы решили перекрасить шкаф. Вам понадобятся 2 вида наждачной бумаги для дерева, различающиеся по зернистости. Сначала крупная (P60), затем средняя (P100). В идеале лучше пройтись еще и третьей, более мелкой шкуркой (P150).
Второй по значимости параметр — тип основы. Выделяют два основных вида бумаги:
- С бумажной основой. Бывает обычной и влагостойкой. Из преимуществ — стоит дешевле, не растягивается при работе. Возможно наносить наиболее мелкое зерно. Из минусов — менее устойчива к износу.
- С тканевой основой. Стоит дороже бумажной, зато обладает высокой прочностью на разрыв и более устойчива к влаге. В силу своей эластичности может вытягиваться в длину. Чем жестче основа, тем долговечнее будет лента.
Особенности применения
Приведём несколько советов относительно применения наждачной бумаги для шлифовки и полировки различных поверхностей:
- Общим правилом применения шлифовальной шкурки является переход от более грубых к более тонким видам – от меньших показателей зернистости к большим.
- Наиболее грубое зерно применяется для черновой обработки дерева и снятия краски, тонкое для различных стадий чистового шлифования.
- При мокром шлифовании рекомендуется использовать водостойкую бумагу с показателем зернистости 400-600. Таким образом, удается уменьшить количество пыли и получить более гладкую поверхность.
- Для ручной обработки сложных криволинейных поверхностей можно закрепить шкурку на толстом куске резины.
- Для удобства работ материал можно обернуть вокруг любого твердого бруска.



















